Cheltenham High School math talks - Adam, Tom Sexton CHS math day 1994 -- Mike
PREV
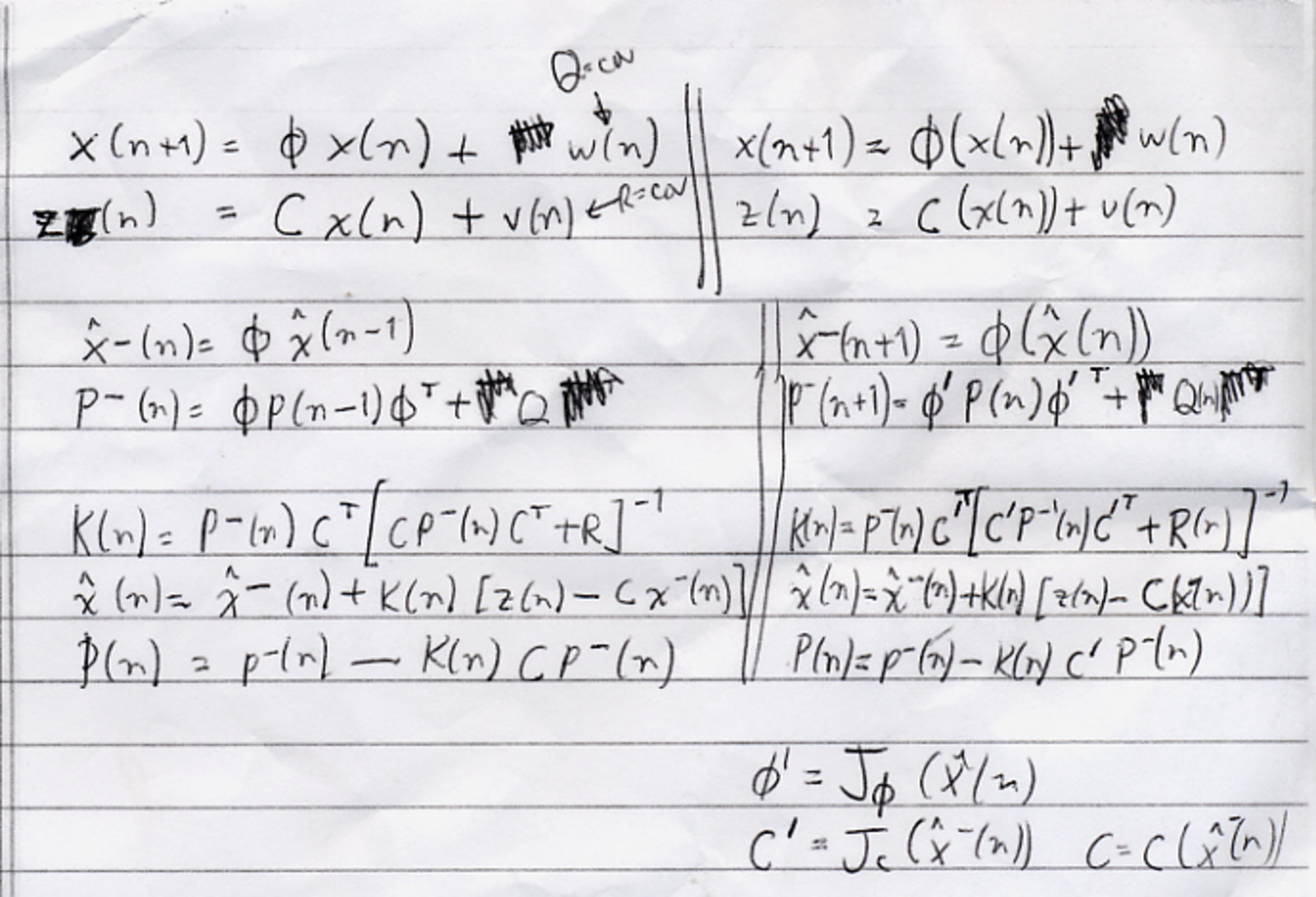
14. Kalman filter math notes
NEXT